Урок №23. Законы алгебры логики.
1. УПРОЩЕНИЕ ЛОГИЧЕСКИХ ВЫРАЖЕНИЙ.
Для упрощения логических выражений применяют эквивалентные преобразования. Это означает, что исходное и упрощённое выражения определяют одну и ту же логическую функцию (имеют одинаковые таблицы истинности).
Законы алгебры логики, с помощью которых выполняют эквивалентные преобразования, формулируются для базовых логических операций — НЕ, И и ИЛИ (рис. 3.15).
Рис. 3.15
Закон двойного отрицания означает, что операция НЕ обратима: если применить её два раза, логическое значение не изменится. Закон исключённого третьего основан на том, что в классической (двузначной) логике любое логическое выражение либо истинно, либо ложно («третьего не дано»). Поэтому если А = 1, то А = 0 (и наоборот), так что произведение этих величин всегда равно нулю, а сумма — единице.
Операции с константами и закон повторения легко проверяются по таблицам истинности операций И и ИЛИ. Переместительный и сочетательный законы выглядят так же, как и в школьной математике. Нужно только помнить, что в логике 1 + 1 = 1, а не 2.
Распределительный закон для ИЛИ — это обычное раскрытие скобок. А вот для операции И мы видим незнакомое выражение, в алгебре это равенство неверно. Доказательство можно начать с правой части, раскрыв скобки:
(А + В)• (А + С) = А• А+А •С + В •А + В• С.
Дальше используем закон повторения (А • А = А) и заметим, что
А+А•С = А• (1 + С)=А•1=А.
Аналогично доказываем, что А + В • А = А • (1 + В) = А, таким образом,
(А + В) • (А + С) = А + В • С.
Равенство доказано. Попутно мы доказали также и закон поглощения для операции И (для ИЛИ вы можете сделать это самостоятельно). Отметим, что из распределительного закона следует полезная формула
А + ¬А • В = (А + ¬А) • (А + В) = А + В.
Правила, позволяющие раскрывать отрицание сложных выражений, названы в честь шотландского математика и логика Августа де Моргана. Обратите внимание, что при этом не просто «общее» отрицание переходит на отдельные выражения, но и операция И заменяется на ИЛИ (и наоборот). Доказать законы де Моргана можно с помощью таблиц истинности.
Теперь с помощью приведённых законов алгебры логики упростим логическое выражение с тремя переменными:
А•В•¬С + ¬А•В•¬С = (А + ¬А)•В•¬С = В•¬С.
Здесь мы сначала вынесли общий множитель двух слагаемых за скобки, а затем применили закон исключённого третьего.
В общем случае можно рекомендовать такую последовательность действий:
- Заменить все «небазовые» операции (исключающее ИЛИ, импликацию, эквиваленцию и др.) на их выражения через базовые операции НЕ, И и ИЛИ.
- Раскрыть отрицания сложных выражений по законам де Моргана так, чтобы операции отрицания остались только у отдельных переменных.
- Используя вынесение общих множителей за скобки, раскрытие скобок и другие законы алгебры логики, упростить выражение.
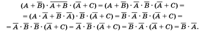
Пример

Здесь последовательно использованы закон де Моргана, распределительный закон, закон исключённого третьего, переместительный закон, закон повторения, снова переместительный закон и закон поглощения.
Видеоплеер
00:00
02:35









